Computational Mechanics in Medical Engineering and Living Matter
Soft and Living Material Interfaces
Principal Investigator
Marino Arroyo
Overview
Research
Staff
Projects
CIMNE’s Soft and Living Materials group develops computational models of cells, tissues and bio-inspired materials to study cancer invasion, epithelial mechanics and morphogenesis, bridging mechanobiology with biomedical applications.
The Soft and Living Material Interfaces research group at CIMNE develops cutting-edge theoretical and computational approaches to understand the mechanobiology of living systems at multiple scales – from cellular membranes to tissues.
By combining principles of continuum mechanics, statistical physics and numerical modelling, the group creates predictive frameworks to study biological interfaces, active matter and bio-inspired materials. Their research ranges from fundamental studies of epithelial mechanics, cell motility and tissue morphogenesis to applied work in biomimetic materials design and biomedical engineering.
Examples of past work include modelling collective cancer invasion mechanisms in collaboration with experimental groups, developing novel computational tools to analyse cell envelope mechanics, and creating bio-inspired designs for synthetic motile systems.
The group uses advanced numerical techniques such as finite element methods (FEM), vertex models and optimisation algorithms to bridge molecular-scale phenomena with tissue-level behaviour.
By closely integrating computational modelling with experimental validation, they aim to both advance the fundamental understanding of living matter and develop innovative applications in regenerative medicine, bionic materials and therapeutic strategies.
Their interdisciplinary approach places this group at the forefront of computational mechanobiology research.
Research areas
Mechanics of Epithelial materials
Development of theoretical and computational models to understand and rationally manipulate epithelial materials in-vivo and in bio-hybrid devices. (PI: Marino Arroyo)
Mechanics of the cell envelope
Development of theoretical and computational models to understand and quantify the mechanics of the cell envelope, and to develop biomimetic multifunctional systems based on the engineering principles of the cell envelope. (PI: Marino Arroyo)
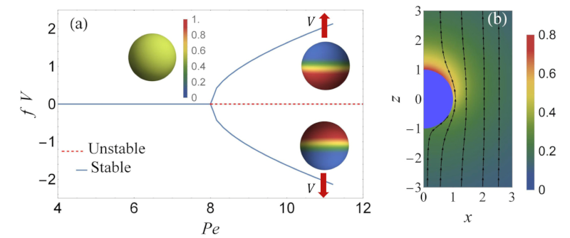
Motility of cells and of artificial bio-inspired systems
Development of theoretical and computational models to understand cell motility and to understand and conceive mechanisms for bio-inspired motile artificial systems. (PI: Marino Arroyo)
Analysis of cell and tissue dynamics
Modelling of regulation of cell contractility and intercalation during morphogenesis. Development of specific finite element and vertex models. (PI: José Muñoz)
Control and optimisation in organism locomotion
Design of optimisation and control numerical algorithms for understanding locomotion patterns of microorganism. (PI: José Muñoz)
Ongoing projects
Finished projects
Related news
Marino Arroyo, Irene Arias, Xavier Oliver and Eugenio Oñate awarded at WWCM in Computational Mechanics & ECCOMAS Congress
The 14th World Congress in Computational Mechanics & ECCOMAS Congress took from January 11th to 15th, 2021. The Opening Session was introduced by the presidents of both scientific societies organizers of the event, Prof. Antonio Huerta (IACM) and Michał Kleiber...










