
Experts at the CIMNE-UPM ETSII Lab (Aula CIMNE-UPM ETSII) have evaluated the effectiveness of Machine Learning (ML) and satellite imagery to assess water quality in inland settings. In a recent study, Ms. Laura Cáceres, Dr Jorge Rodríguez Chueca and Dr David J. Vicente compared these approaches against traditional methods, assessing how these technologies could enhance safety monitoring and reduce the need for intense on-site measurements.
The manuscript, entitled “Comparative assessment of machine learning and band ratios for robust water quality assessment in inland waters“, compares machine learning approaches with traditional band ratio methods to determine which techniques provide the most robust assessment of water quality parameters.
By leveraging satellite imagery, the research demonstrates how remote sensing technologies combined with AI can enhance monitoring capabilities for inland waters, potentially reducing the need for resource-intensive field measurements whilst maintaining accuracy.
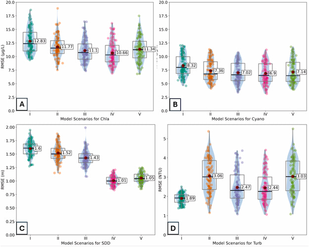
Machine‑learning prediction results obtained under different test scenarios
This novel approach could expedite safety assessments and reduce maintenance costs amid growing demands for scalable solutions to monitor freshwater resources, as pressures from climate change and human activity increase.
“This research represents an important step forward in applying artificial intelligence to environmental monitoring,” said Dr. Vicente, who is also part of CIMNE’s Machine Learning and Models in Hydro-Environmental Engineering research cluster.
Partnership with Canal de Isabel II
The research has been developed within the framework of a partnership agreement between CIMNE, the Universidad Politécnica de Madrid (UPM), and Canal de Isabel II S.A.M.P., one of Spain’s largest water management companies. The collaboration reflects the practical relevance of the research, bridging academic innovation with real-world applications in water resources management.
The partnership provided experts with access to operational data and expertise whilst offering a testing ground for new monitoring methodologies. Canal de Isabel II manages water supply for over six million people in the Madrid region.
For Laura Cáceres, who is a PhD Student at the CIMNE-UPM ETSII Lab, the publication bears significance as it explores “how advanced computational techniques can address practical challenges in environmental monitoring”. According to Laura Cáceres, the opportunity to link her doctoral thesis and work experience in Canal de Isabel II has been invaluable in addressing scientific and real-world applications that can be transferred directly to end users.
The comparative analysis presented in the paper provides evidence-based guidance on the selection and application of different methodologies. Traditional water quality monitoring methods, whilst accurate, often require extensive sampling programmes that can be costly and time-consuming. Remote sensing approaches offer the potential to monitor multiple water bodies simultaneously, providing coverage that would be impractical with conventional techniques alone.
A testament to CIMNE-ETSII Lab research
The CIMNE-UPM ETSII Lab, based at the Higher Technical School of Industrial Engineering (ETSII) at the Technical University of Madrid, focuses on the application of numerical methods and machine learning to engineering challenges. Beyond water quality assessment, the lab is actively pursuing research on the application of machine learning models to wastewater treatment processes, addressing the need for more efficient and adaptive management systems in urban water infrastructure.
Dr. David J. Vicente, Laura Cáceres and Dr. Jorge Rodríguez Chueca
CIMNE’s Machine Learning and Models in Hydro-Environmental Engineering research cluster, also linked to this research, bounds specialists working on diverse applications including flood prediction, dam safety monitoring, and water quality assessment.
The paper is available in the January 2026 volume of ‘Remote Sensing Applications: Society and Environment’, published by Elsevier.








